Общая информация по теме «капрон»
Капрон – это синтетическое полиамидное волокно, которое получают из нефти, в результате реакции полимеризациикапролактама.
Формула капрона: [—HN(CH2)5CO—]n
В 1938 году впервые был синтезирован поликапролактам как полимер, применяемый для формования полиамидного волокна. Массовое производство капроновой ткани началось в 40х годах. Название «капрон» распространено в пределах Российской Федерации, за ее границами соединение известно, как дедерон, перлон, нейлон.
Технология получения капрона
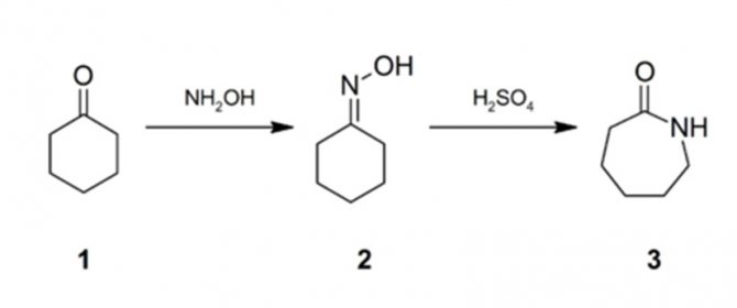
Процесс получения капрона не простой. Вначале путем гидрирования при пониженном давлении и температуре фенол переводят в циклогексанон. Затем, полученное соединение под действием гидроксиламина переходит в циклогексаноноксим (схема 1→2). И уже из него, под действием серной кислоты в ходе протекания бекмановской перегруппировки образуется капролактам(схема 2→3)
Далее по механизму «раскрытия цикла — присоединение» происходит гидролитическая полимеризация капролактама – синтез капрона.
Разновидности капрона
Капрон – это белое, прозрачное, прочное вещество. Выпускаемое в виде смол, волокон, нитей, тканей. Перечисленные материалы отличаются высокой прочностью и эластичностью.
Капрон можно разделить на материал промышленного и бытового назначения. Из капрона изготавливают кордную ткань, применяемую в производстве автомобильных шин, термопластичную капроновую смолу используют для изготовления деталей машин, механизмов.
Капрон применяется для изготовления парашютов. В бытовой области капрон идет на изготовление рыболовных сетей, гитарных струн, тканей, колготок и чулок.
Область применения
Капрон используют для пошива одежды, нижнего белья, штор и предметов декора, а также применяют для изготовления рыболовных сетей и парашютов. В промышленной отрасли применяются технические сорта волокон.
- Одежда. Из капрона производят большой ассортимент чулочно-носочных изделий — это колготки, чулки, носки. Волокно используют для пошива спортивных костюмов. В них часто выступают фигуристки и гимнастки. В сценической одежде и вечерних платьях на капрон часто пришивают стразы и различные декоративные элементы. Тюль и кружева из капрона используют для отделки свадебных платьев.
- Нижнее белье. В капроновом белье спать неудобно, зато оно великолепно подходит для романтического вечера.
- Шторы. Воздушные и легкие капроновые шторы, подходят для любого интерьера. Великолепно драпируются, создавая красивые складки и волны. Долговечный материал, не боится частых стирок. В отличие от натуральных тканей, капроновые шторы стоят намного дешевле.
- Покрышки и шины. Из крученых капроновых волокон делают кордную ткань. Из нее армируют пневматические шины и покрышки.
- В медицинской, пищевой и химической индустрии используется фильтрованная капроновая ткань. Этот вид материала обладает способностью останавливать самые мелкие частицы из жидкостей и газов.
Капроновая нить
Изучив синтез капрона, нужно уточнить один момент. Получается в результате реакции капроновая смола. Из смолы делают волокна, из волокон нити, из нитей ткани, но обо всем по порядку.
Полученная в результате синтеза смола, нагревается почти до 3000С и выдавливается через специальные формы-сита с определенными отверстиями. На выходе струи охлаждаются воздухом, вытягиваются. Волокна готовы. В дальнейшем если необходимо их скручивают в нити.
Нити получаются очень прочные. К примеру, ниточка толщиной 0,1 мм способна выдержать груз весом более полу килограмма. Нити капрона отличаются повышенной стойкостью к истиранию, они не рвутся, а лишь растягиваются, после снятия нагрузки возвращаются в исходное положение, нити устойчивы к бактериальным атакам.
Из минусов капроновых нитей, можно отметить, что капрон накапливает статическое электричество, химически не стоек – разрушается под действием кислот и длительного воздействия ультрафиолета.
Существует несколько типов капроновых нитей:
- Эластичные (эластик) – устойчивые к растяжению, получаемые закручиванием волокна. Используются для производства колготок, носочков, чулок.
- Нити Мэрон – более объёмные нити. Они получаются путем температурной обработки эластика. Обладают более высоким влагоёмким показателями, поэтому используются для производства трикотажа, белья.
- Нити гофрон–механически искривлённые нити Мэрон. Применяются так же для изготовления белья и трикотажа.
Капроновые нити широко распространены. Признание получили благодаря прочности и низкой стоимости.
Уход за капроновыми тканями
Вещи из капрона стирают при температуре не более 40 градусов в режиме «деликатная стирка». Чтобы материал не потерял своих влагоустойчивых свойств в воду нельзя добавлять смягчающие и отбеливающие вещества. При ручной стирке, изделия заранее замачивают в мыльном растворе. Во время глажки утюг устанавливают на самый маленький нагрев, без использования пара. Из-за статического электричества капроновые шторы со временем приобретают серый оттенок. Поэтому их регулярно чистят пылесосом, используя специальную насадку.
Originally posted 2017-12-21 06:52:31.
Капроновая ткань: преимущества и недостатки
Легкая и невесомая – так парой слов можно охарактеризовать капроновую ткань. Понятно, что ее производят из капроновых нитей и она имеет те же свойства.
По способу переплетения нитей выделяют саржевый и полотняные капроновые ткани.
Также существует деление по степени прозрачности. Капрон может быть и цветным, и однотонным с узором. Палитра окрасок капроновых однотонных тканей очень широка. Начиная от нежных пастельных цветов, заканчивая яркими, неоновыми оттенками. Узорчатые ткани называются флокированными. Когда говорится об узорчатой ткани, то представляются цветы, горы, холмы и т.п. Напечатанные или сплетённые из разных нитей узоры. В случае с флокированными тканями все немного по-другому. Для получения узора на поверхность капроновой ткани наносят рисунок специальным клеевым составом, далее распыляют флоковые волокна. После высыхания клея, лишние ворсинки удаляют и получается красивый рисунок. Созданная подобным образом ткань, значительно дороже однотонного собрата.
Плюсы капроновый ткани:
- Прочность.
- Легкость.
- Упругость – не рвется, не мнется.
- Износостойкость.
- Биологическая стойкость.
- Легкость ухода.
- Минусы капроновой ткани:
- Накапливает статическое электричество.
- Не впитывает влагу.
- Низкая светостойкость.
- Низкая теплостойкость.
Характеристика материала
Свойства капроновой ткани 3 класса зависят от плотности капроновой нити, которая применяется для его изготовления. Производство волокна происходит путем переработки каменного угля и нефти. Шелковая ткань, изготовленная из капроновых нитей специального назначения, имеет арт.56383. Свойства материала:
- Легкий и упругий материал. По сравнению с шелком, его прочность в несколько раз выше.
- Вещи из капрона не мнутся и не деформируются. Благодаря эластичности, ткань при растяжении не рвется.
- Материал имеет хорошую износостойкость.
- Не требует особого ухода и обладает устойчивостью к воздействию щелочи.
- Имеет защитные свойства от различных микроорганизмов.
Сферы применения капрона
Капроновое полотно применяют для изготовления штор, тюлей, свадебных нарядов, одежды, а как отмечалось ранее, для технических целей активно используются в автомобилестроении.
Шторы/тюли из капрона — лёгкое и изящное украшение домашнего интерьера. Тюли хорошо пропускают солнечный свет, красиво укладываются в изящные волны. Можно подобрать модели для любого помещения – строгого офисного, элегантного гостиного, уютного кухонного или нежного спального.
Что касается одежды, то тюлевые, капроновые элементы не заменимы в шитье свадебных нарядов и вечерних платьев. Капрон позволят создать эффект «открытого тела». Данным фокусом пользуются дизайнеры при создании не только вечерних элегантных платьев, но и нарядов для гимнасток, фигуристок. Капроновые элементы украшаются стразами, блесками.
Более «жесткое» капроновое волокно применяется для армирования автомобильных покрышек. И еще одна область использования капроновых тканей – фильтрация. Из капроновых нитей ткут фильтровальные ткани. Они используются на производствах и в станциях очистки сточных вод, для отделения осадочных твердых фракций от жидкости.
Нити их классификация и материалы для изготовления
Нити это крученое изделие, которое получается в результате кручения пряжи в несколько сложений на специальном оборудовании. Свойства и характеристики нитей, которыми она будет обладать в результате изготовления, зависят от: используемого материала, который определяет ее состав, числа скруток, а так же направления скрутки нити. Еще не маловажный фактор это толщина изделия и его плотность.
По своему составу нити делятся на 3 вида: натуральных материалов, химических, комбинированных. Зачастую для изготовления нити для технического назначения используются синтетические материалы.
По количеству круток нити подразделяются на два вида: однокруточные и двухкруточные. Для того что бы произвести двухкруточные, заранее подготавливают требуемое количество однокруточных нитей, после чего скручивают их вместе.
Нити так же делятся по направлению крутке, так называемой правой «Z» и левой «S» крутки. По завершению производства, в зависимости от условий и целей применения нити могут обрабатываться специальными составами, которые позволяют улучшить их свойства.
Полиэфирные нитки
Нити обладающие самой маленькой степенью удлинения и при этом сохраняют высокую прочность и не имеют усадки, по сравнению с подобными синтетическими материалами — полиэфирные нити.
Данный вид ниток очень устойчив к различным динамическим нагрузкам, особенно великолепное их свойство, это способность не разрушаться от влажности.
Полиэфирные нити обладают ворсистой поверхностью, которая позволяет надежно обеспечить затяжку узла. Очень стойки к солнечным лучам и гниению. Применяются в основном в рыболовстве и обувной промышленности.
Капроновые нитки
Данный вид нитей изготавливается из комплексного полиамида, что наделяет нити отличными характеристиками такими как: прочность, устойчивость к влаге, хорошие амортизационные свойства, эластичность. Капроновые нити отличаются высокой прочностью и отрицательной плавучестью.
Главная особенность капроновых нитей, это усадка при контакте с водой, это гарантирует очень надежную фиксацию узла сетеполотна. У капроновых нитей очень высокий предел прочности при растяжении и упругость, а так же высокая степень устойчивости к ультрафиолету.
Капроновые нити применяются в рыболовной промышленности и для изготовления орудий для лова.
Полипропиленовые нитки
Характерное отличие нитей из полипропилена, он является трудно сгораемым материалом. Нити из полипропилена способны выдержать большие нагрузки и не деформироваться. Данный вид нитей имеет положительную плавучесть, при этом не впитывают воду. Так же нити из полипропилениа очень устойчивы к воздействию различных кислот, они не разрушают их структуру и нити сохраняют свои свойства. Однако данный вид нитей не так устойчив к ультрафиолету, именно по этой причине их зачастую покрывают дополнительными защитными составами. Нити применяются в сельском хозяйств и текстильной промышленности.
Полиэтиленовые нитки
Данный вид нитей является самым доступным из всех перечисленных нитей, которые произведены из синтетических материалов. Полиэтиленовые нити обладают средней прочностью, сохраняя при этом достаточно большую растяжимость и легкий вес.
Не смотря на среднюю прочность, нити устойчивы к химическим веществам и отрицательным температурам. Нити обладают положительной плавучестью и низкими показателями гигроскопичности. Нити не особо устойчивы к ультрафиолетовому излучению и разрушаются под их воздействием.


